Задать свой вопрос   *более 50 000 пользователей получили ответ на «Решим всё»

Задача 71092 integrate (1 - 6x) * e ^ (5x) dx...

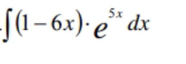
Условие

integrate (1 - 6x) * e ^ (5x) dx

98

Решение

По частям

u=[b]1-6x[/b]

[u]du=-6dx[/u]


[blue]dv=e^(5x)dx[/blue]

v=(1/5)*e^(5x)


∫ (1-6x)*e^(5x)dx=[b](1-6x)[/b]*(1/5)*e^(5x) - ∫[blue](1/5)*e^(5x) [/blue]*[u] ( -6dx)[/u]=(1/5)*(1-6x)*e^(5x)+(6/5)*(1/5)e^(5x)+C

Написать комментарий

Меню

Присоединяйся в ВК