Задать свой вопрос
*более 50 000 пользователей получили ответ на «Решим всё»
Задача 70993
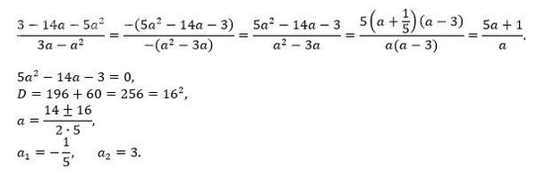
(3-14a-5a^2)/(3a-a^2) как решить? ...
Условие
6446947d1937c87f049cb457
24.04.2023 17:42:44
(3-14a-5a^2)/(3a-a^2) как решить?
88
Решение
5f3eaa23faf909182968dde0
24.04.2023 20:06:36
★
Написать комментарий
Меню
Решим всё
Найти задачу
Категории
Статьи
Тесты
Архив задач
Присоединяйся в ВК