Задать свой вопрос
*более 50 000 пользователей получили ответ на «Решим всё»
Задача 70873
сделайте кто может...
Условие
6385e94675b8693cdb931c84
19.04.2023 10:28:22
сделайте кто может
нет в списке ВУЗ
118
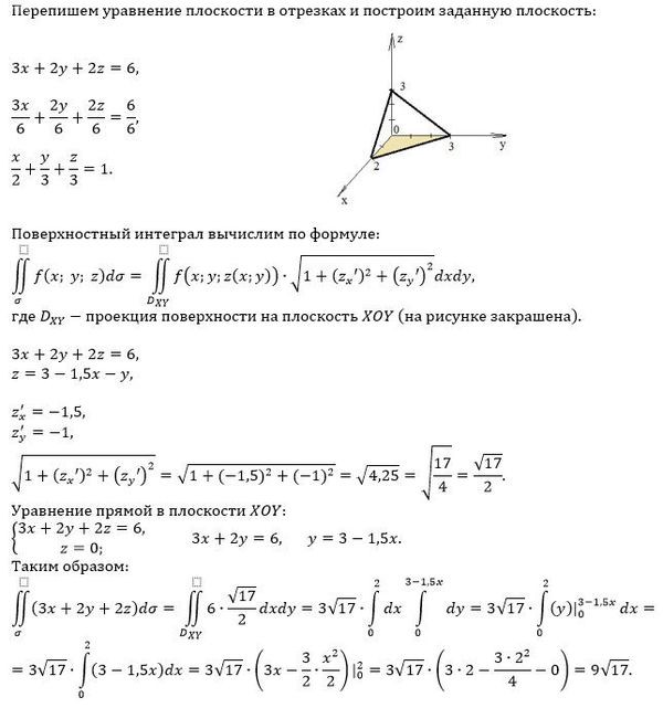
Решение
5f3eaa23faf909182968dde0
19.04.2023 19:03:24
★
Написать комментарий
Меню
Решим всё
Найти задачу
Категории
Статьи
Тесты
Архив задач
Присоединяйся в ВК