Задать свой вопрос
*более 50 000 пользователей получили ответ на «Решим всё»
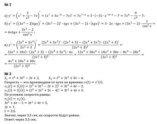
Задача 70869
Хэлп с 2 и 3 заданиями,1 вариант...
Условие
64171b8e080d9134f2688450
19.04.2023 09:08:09
Хэлп с 2 и 3 заданиями,1 вариант
математика 10-11 класс
143
Решение
5f3eaa23faf909182968dde0
19.04.2023 14:39:41
★
Написать комментарий
Меню
Решим всё
Найти задачу
Категории
Статьи
Тесты
Архив задач
Присоединяйся в ВК