Задать свой вопрос   *более 50 000 пользователей получили ответ на «Решим всё»

Задача 70492 Найти все значения параметра a , при...

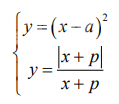
Условие

Найти все значения параметра a , при которых система уравнений имеет единственное решение.
При p=9.

математика ВУЗ 628

Решение

{ y = (x - a)^2
{ y = |x + 9| / (x + 9)
Область определения: y ≥ 0; x ≠ -9.
Из 2 уравнения: y = -1, если x < -9 и y = 1, если x > -9
Подставляем в 1 уравнение, получаем два случая:
1) y = -1, x < -9
-1 = (x - a)^2
Решений нет, потому что квадрат не может быть отрицательным.
2) y = 1, x > -9
1 = (x - a)^2
Опять распадается на 2 случая:
2а) x - a = -1
x = a - 1 > -9
a > -8: x = a - 1; y = 1
2б) x - a = 1
x = a + 1 > -9
a > -10: x = a + 1; y = 1
Получаем:
При a ∈ (-oo; -10] решений нет.
При a ∈ (-10; -8] будет одно решение:
x = a + 1; y = 1
При a = -8 получим x = -8 + 1 = -7 ≠ -9, поэтому это решение есть.
При a ∈ (-8; +oo) будет два решения:
При а = -8 получим x = -8 - 1 = -9, поэтому этого решения нет.
x1 = a - 1; y1 = 1
x2 = a + 1; y2 = 1

Ответ: a ∈ (-10; -8]

Написать комментарий

Меню

Присоединяйся в ВК