Задать свой вопрос
*более 50 000 пользователей получили ответ на «Решим всё»
Задача 70274
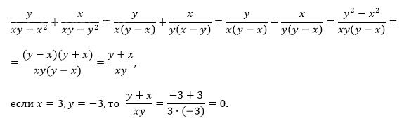
Упрости выражение y/(xy-x^2) +...
Условие
6245cc109047d823797edd39
21.03.2023 18:16:00
Упрости выражение y/(xy-x^2) + x/(xy-y^2) и вычисли его значение при х = 3 и у = -3
математика 8-9 класс
253
Решение
5f3eaa23faf909182968dde0
21.03.2023 20:30:45
★
Написать комментарий
Меню
Решим всё
Найти задачу
Категории
Статьи
Тесты
Архив задач
Присоединяйся в ВК