Задать свой вопрос   *более 50 000 пользователей получили ответ на «Решим всё»

Задача 70163 ...

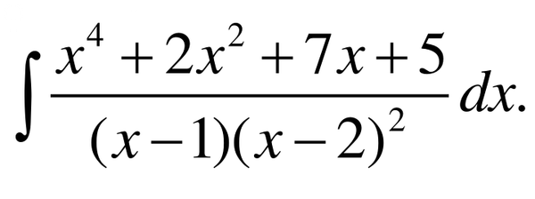
Условие

∫ (x^4+2x^2+7x+5)/(x-1)(x-2)^2 dx

математика 214

Решение

(x-2)^2(x-1)=(x^2-4x+4)(x-1)=x^3-4x^2+4x-x^2+4x-4=x^2-5x^2+8x-4

Выделяем целую часть.

Делим многочлен (x^4+2x^2+7x+5) на многочлен (x^2-5x^2+8x-4)

"углом"

Написать комментарий

Меню

Присоединяйся в ВК