Задать свой вопрос
*более 50 000 пользователей получили ответ на «Решим всё»
Задача 70057
...
Условие
63ca5821d865917bef60f83a
14.03.2023 12:08:17
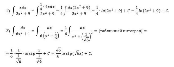
Найти неопределенные интегралы
∫ xdx / 2x^2+9
∫ dx/ 6x^2+1
математика ВУЗ
216
Решение
5f3eaa23faf909182968dde0
14.03.2023 12:34:54
★
Написать комментарий
Меню
Решим всё
Найти задачу
Категории
Статьи
Тесты
Архив задач
Присоединяйся в ВК