Задать свой вопрос
*более 50 000 пользователей получили ответ на «Решим всё»
Задача 70029
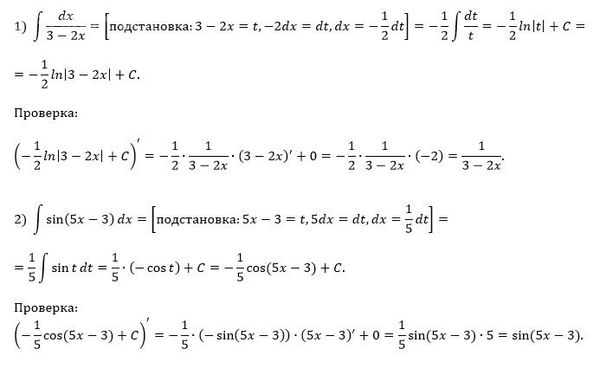
Найти неопределенные интегралы...
Условие
63ca5821d865917bef60f83a
13.03.2023 18:27:55
Найти неопределенные интегралы (peзультаты интегрирования проверить дифференцированием)
математика ВУЗ
143
Решение
5f3eaa23faf909182968dde0
13.03.2023 19:05:08
★
Написать комментарий
Меню
Решим всё
Найти задачу
Категории
Статьи
Тесты
Архив задач
Присоединяйся в ВК