Задать свой вопрос
*более 50 000 пользователей получили ответ на «Решим всё»
Задача 70028
...
Условие
640f1bbaec8ebf030a1d483c
13.03.2023 18:08:20
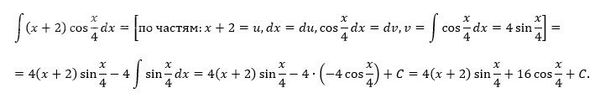
∫(x+2)cos x/4dx
математика ВУЗ
181
Решение
5f3eaa23faf909182968dde0
13.03.2023 18:23:44
★
Написать комментарий
Меню
Решим всё
Найти задачу
Категории
Статьи
Тесты
Архив задач
Присоединяйся в ВК