Задать свой вопрос   *более 50 000 пользователей получили ответ на «Решим всё»

Задача 69983 ...

Условие

Используя формулу бинома Ньютона в разложении степени:

(X^3+2×(1/x^(0,5)))^(84) найдите член, содержащий x^7

ВУЗ 149

Решение

Все решения

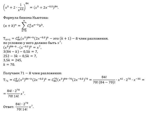
[m] (x^3+\frac{2}{x^{0,5}})^{84}[/m]


[m]T_{k}=C^{k}_{84}(x^3)^{k}\cdot (\frac{2}{x^{0,5}})^{84-k}[/m]- k-ый член разложения по формуле бинома Ньютона

По требованию задачи x должно быть в седьмой степени

Уравнение:

[m](x^3)^{k}\cdot (x^{-0,5})^{84-k}=x^{7}[/m]

По свойству степени:

[m](x)^{3k+(-0,5)\cdot (84-k)}=x^{7}[/m]


[m] 3k-42+0,5k=7[/m]

[m]3,5k=7+42[/m]

[m]k=14[/m]


[m]T_{14}=C^{14}_{84}(x^3)^{14}\cdot (\frac{2}{x^{0,5}})^{84-14}=\frac{84!}{14!\cdot (84-14)!}\cdot 2^{70}x^{7}[/m]


О т в е т. [m]\frac{84!}{14!\cdot (70)!}\cdot 2^{70}x^{7}[/m]

Написать комментарий

Меню

Присоединяйся в ВК