Задать свой вопрос   *более 50 000 пользователей получили ответ на «Решим всё»

Задача 69980 ЕГЭ параметр| Для каждого значения...

Условие

ЕГЭ параметр| Для каждого значения параметра а, решите уравнение

математика 10-11 класс 694

Решение

Перепишем:

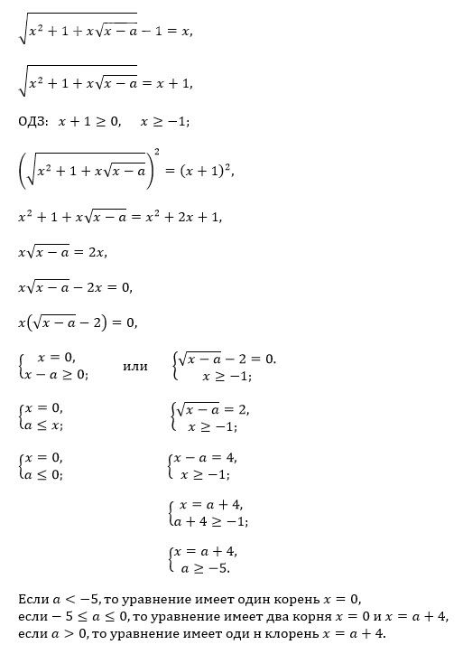
[m]\sqrt{x^2+1+x\sqrt{x-a}}=x+1[/m]

Возводим в квадрат:

[m]\left\{\begin {matrix}x+1 ≥ 0\\x^2+1+x\sqrt{x-a}=x^2+2x+1\end {matrix}\right.[/m] ⇒ [m]\left\{\begin {matrix}x ≥ -1\\x\sqrt{x-a}=2x\end {matrix}\right.[/m] ⇒ [m]\left\{\begin {matrix}x ≥-1\\x(\sqrt{x-a}-2)=0\end {matrix}\right.[/m] ⇒

[m]\left\{\begin {matrix}x ≥-1\\x=0\\x-a ≥0 \end {matrix}\right.[/m] или [m]\left\{\begin {matrix}x ≥-1\\\sqrt{x-a}=2\end {matrix}\right.[/m]

Первая система:
1)
если a < -1
________(a) ______ (-1) _____ [0]____

х=0 - корень уравнения

2)
если a ≥ -1

a)
если -1 ≤ a ≤ 0

________(-1) ______ (a) _____ [0]____

x=0 - корень уравнения

б)
если a > 0

________(-1) ______ [0] _____ (a) ____

нет корней


Вторая система:

[m]\left\{\begin {matrix}x ≥-1\\x-a ≥0\\x-a=4\end {matrix}\right.[/m] ⇒ [m]\left\{\begin {matrix}x ≥-1\\x-a ≥0\\x=a+4\end {matrix}\right.[/m]
a)
Если a ≥ -1

_______ [-1] _______ [a] ___________ [a+4] _______

x=a+4 - корень уравнения



Если a < -1 и a+4 < -1 ⇒ a<-5


_______ [a] _______ [a+4] ___________ [-1] //////////

нет решений


Если a < -1 и a+4 > -1 ⇒ a >-5


_______ [a] _______ [-1] ////////// [a+4] //////////


x=a+4


Объединяем результаты:

О т в е т.

при а < -5 нет корней
при -5 < a < -1
x=0 и x=a+4 - два корня
При -1 ≤ а≤ 0
x=0; x=a+4 - два корня
При a > 0
x=a+4 - один корень

Все решения

Я попробовал решить, у меня получилось, что решений нет.
Ни при каких а.
Но Вольфрам Альфа выдает очень сложный ответ.
[m]x = \frac{\sqrt[3]{2a^3 + 3 \sqrt{3} \cdot \sqrt{4a^3+27} + 27}}{3 \sqrt[3]{2}} + \frac{\sqrt[3]{2} \cdot a^2}{3 \sqrt[3]{2a^3 + 3 \sqrt{3} \cdot \sqrt{4a^3+27} + 27}} + \frac{a}{3}[/m]
Очевидно, что решение есть, если число под квадратным корнем:
[m]4a^3+27 ≥ 0[/m]
[m]a ≥ -\sqrt[3]{\frac{27}{4}}[/m]
Но такое решение - явно не для ЕГЭ.
Подозреваю, что в задаче ошибка.

Написать комментарий

Меню

Присоединяйся в ВК