Задать свой вопрос
*более 50 000 пользователей получили ответ на «Решим всё»
Задача 69862
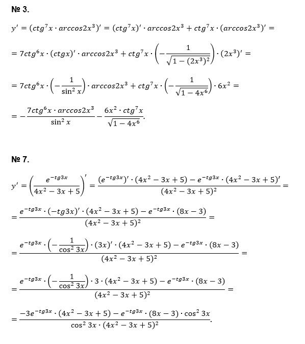
Продифференцировать данные функции: y...
Условие
63ca5821d865917bef60f83a
06.03.2023 20:47:46
Продифференцировать данные функции:
y = e^(-tg3x) / (4x^2-3x+5)
y = ctg^7x * asrccos 2x^3
математика ВУЗ
312
Решение
5f3eaa23faf909182968dde0
07.03.2023 08:59:38
★
Написать комментарий
Меню
Решим всё
Найти задачу
Категории
Статьи
Тесты
Архив задач
Присоединяйся в ВК