Задать свой вопрос
*более 50 000 пользователей получили ответ на «Решим всё»
Задача 69842
Прошу помочь со всеми заданиями Найти...
Условие
63f495bba4a71c72bdd114aa
06.03.2023 01:20:09
Прошу помочь со всеми заданиями
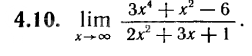
Найти указанные пределы.
математика ВУЗ
128
Решение
5f3eaa23faf909182968dde0
06.03.2023 08:06:34
★
Написать комментарий
Меню
Решим всё
Найти задачу
Категории
Статьи
Тесты
Архив задач
Присоединяйся в ВК