Задать свой вопрос   *более 50 000 пользователей получили ответ на «Решим всё»

Задача 69732 ...

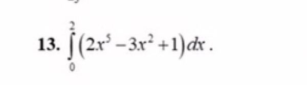
Условие

вычислите определенные интегралы ∫ (2x^5-3x^2+1) dx

математика 10-11 класс 221

Решение


[m]=(2\frac{x^6}{6}-3\frac{x^3}{3}+x)|^{2}_{0}=(2\frac{2^6}{6}-3\frac{2^3}{3}+2)-(2\frac{0^6}{6}-3\frac{0^3}{3}+0)=\frac{64}{3}-6=\frac{64-18}{3}=\frac{46}{3}[/m]

Написать комментарий

Меню

Присоединяйся в ВК