Задать свой вопрос   *более 50 000 пользователей получили ответ на «Решим всё»

Задача 69626 Номер9 и 10,тема : преобразование и...

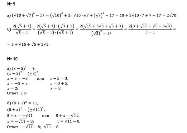
Условие

Номер9 и 10,тема : преобразование и упрощение выражений,содержащих квадратный корень,нужен не только ответ,нужно ответ с решением.

математика 8-9 класс 163

Решение

Написать комментарий

Меню

Присоединяйся в ВК