Задать свой вопрос
*более 50 000 пользователей получили ответ на «Решим всё»
Задача 69511
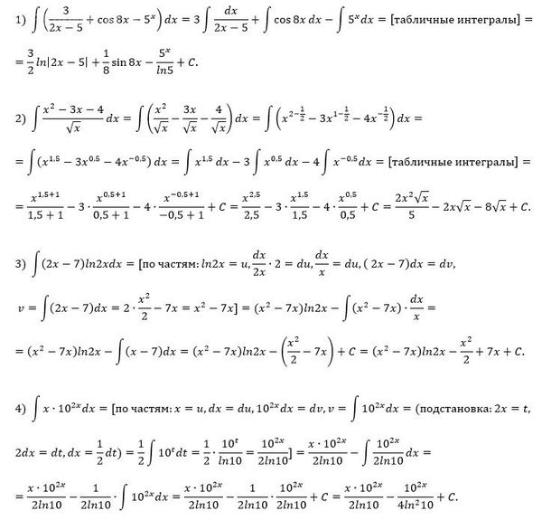
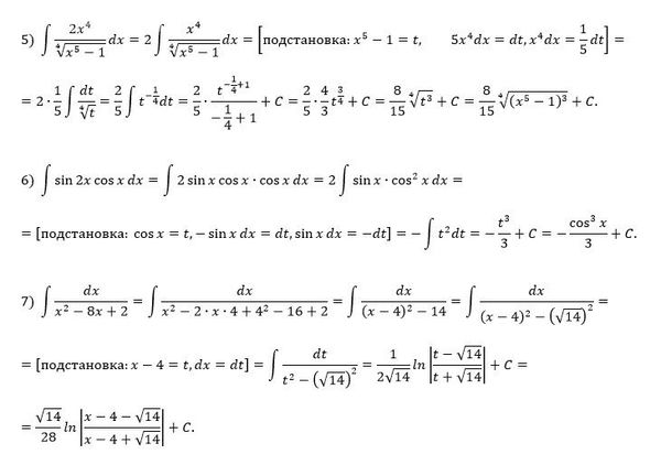
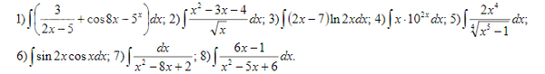
[b]Найти интегралы:[/b]...
Условие
63f5f1cdb44e4879a3679bd8
22.02.2023 15:45:14
[b]Найти интегралы:[/b]
103
Решение
5f3eaa23faf909182968dde0
22.02.2023 16:14:09
★
Написать комментарий
Меню
Решим всё
Найти задачу
Категории
Статьи
Тесты
Архив задач
Присоединяйся в ВК