Задать свой вопрос   *более 50 000 пользователей получили ответ на «Решим всё»

Задача 69469 Номер 14,тема : преобразование и...

Условие

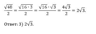
Номер 14,тема : преобразование и упрощение выражений,содержащих квадратный корень,нужен не только ответ,нужно ответ с решением.

математика 8-9 класс 259

Решение

Написать комментарий

Меню

Присоединяйся в ВК