Задать свой вопрос   *более 50 000 пользователей получили ответ на «Решим всё»

Задача 69394 ...

Условие

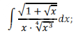
Вычислите интеграл ∫ sqrt(1+sqrt(x)) / x*∜x^3 dx

математика ВУЗ 213

Решение

[m]m=-\frac{7}{4}[/m]

[m]n=\frac{1}{2}[/m]

[m]p=\frac{1}{2}[/m]

3) случай

[m]\frac{m+1}{n}+p=-1 ∈ [/m]Z


Замена переменной:


[m]1+\sqrt{x}=t^4\sqrt{x}[/m]


⇒[m] \sqrt{x}=\frac{1}{t^4-1}[/m] ⇒[m] x=(t^4-1)^{-2}[/m]

[m]dx=-2(t^4-1)^{-3}\cdot (4t^3)dt[/m]


[m]dx=-\frac{8t^3}{(t^4-1)^3}dt[/m]

[m]t=\sqrt[4]{\frac{1+\sqrt{x}}{\sqrt{x}}}[/m]


[m] ∫ \frac{\sqrt{1+\sqrt{x}}}{x\cdot\sqrt[4]{x^3}}dx= -∫8t^5dt=-8\frac{t:^6}{6}+C=-\frac{4}{3}(\sqrt[4]{\frac{1+\sqrt{x}}{\sqrt{x}}})^6+C=-\frac{4}{3}\frac{(1+\sqrt{x})^{\frac{3}{2}}}{x^{\frac{3}{4}}}+C[/m]

Написать комментарий

Меню

Присоединяйся в ВК