Задать свой вопрос   *более 50 000 пользователей получили ответ на «Решим всё»

Задача 69311 ...

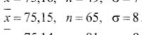
Условие

. Найти доверительные интервалы для оценки математического ожидания a нормального распределения с надежностью 0,95, зная выборочную среднюю x , объем выборки n и среднее квадратическое отклонение σ .
С ПОДРОБНЫМ РЕШЕНИЕМ!!!

математика 358

Решение

Написать комментарий

Меню

Присоединяйся в ВК