Задать свой вопрос
*более 50 000 пользователей получили ответ на «Решим всё»
Задача 69260
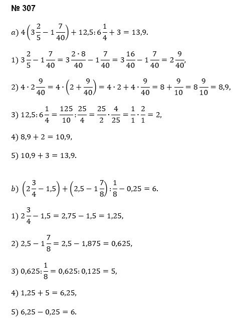
307 упрожнение...
Условие
63ecee53b892057e73243d8d
15.02.2023 17:39:37
307 упрожнение
6-7 класс
130
Решение
5f3eaa23faf909182968dde0
15.02.2023 20:48:17
★
Написать комментарий
Меню
Решим всё
Найти задачу
Категории
Статьи
Тесты
Архив задач
Присоединяйся в ВК