Задать свой вопрос
*более 50 000 пользователей получили ответ на «Решим всё»
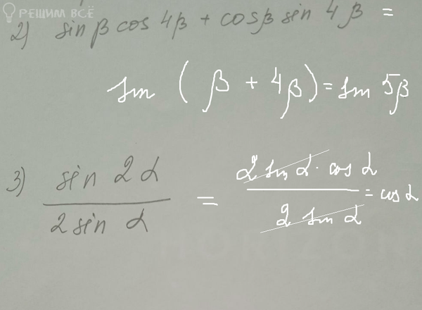
Задача 69008
Спростіть вирази...
Условие
63d916fa39dfb916d2f83850
07.02.2023 14:04:11
Спростіть вирази
математика 10-11 класс
158
Решение
5f3ea7e3faf909182968ddd9
07.02.2023 14:05:56
★
Написать комментарий
Меню
Решим всё
Найти задачу
Категории
Статьи
Тесты
Архив задач
Присоединяйся в ВК