Задать свой вопрос
*более 50 000 пользователей получили ответ на «Решим всё»
Задача 68975
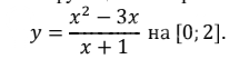
Найти наибольшее и наименьшее значения...
Условие
635f9f66c10f6b601786061d
06.02.2023 01:07:07
Найти наибольшее и наименьшее значения функции на отрезке:
математика колледж
174
Решение
5f3eaa23faf909182968dde0
06.02.2023 10:20:17
★
Написать комментарий
Меню
Решим всё
Найти задачу
Категории
Статьи
Тесты
Архив задач
Присоединяйся в ВК