Задать свой вопрос
*более 50 000 пользователей получили ответ на «Решим всё»
Задача 68699
...
Условие
63d373f1cea7f96b039d9eaa
27.01.2023 17:46:47
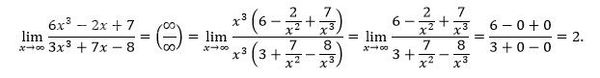
Найти предел функции
[m]lim\frac{6x^3-2x+7}{3x^3+7x-8}[/m]
x → ∞
математика ВУЗ
168
Решение
5f3eaa23faf909182968dde0
27.01.2023 18:27:55
★
Написать комментарий
Меню
Решим всё
Найти задачу
Категории
Статьи
Тесты
Архив задач
Присоединяйся в ВК