Задать свой вопрос
*более 50 000 пользователей получили ответ на «Решим всё»
Задача 68654
Математика 6 клас. ...
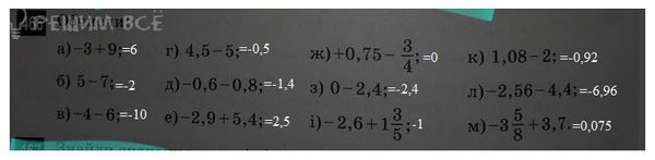
Условие
636e0b6e491faa1a04064093
26.01.2023 09:15:48
Математика 6 клас.
математика 6-7 класс
191
Решение
5f3eaa23faf909182968dde0
26.01.2023 09:58:53
★
Написать комментарий
Меню
Решим всё
Найти задачу
Категории
Статьи
Тесты
Архив задач
Присоединяйся в ВК