Задать свой вопрос
*более 50 000 пользователей получили ответ на «Решим всё»
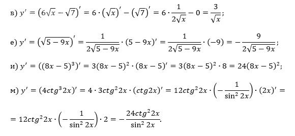
Задача 67982
Найти производные функций ...
Условие
632b1e6b92faa95f2b61c1d9
27.12.2022 19:59:32
Найти производные функций
математика
186
Решение
5f3eaa23faf909182968dde0
27.12.2022 20:25:39
★
Написать комментарий
Меню
Решим всё
Найти задачу
Категории
Статьи
Тесты
Архив задач
Присоединяйся в ВК