Задать свой вопрос
*более 50 000 пользователей получили ответ на «Решим всё»
Задача 67964
...
Условие
621c64f203a81f78a0a5014c
27.12.2022 09:18:03
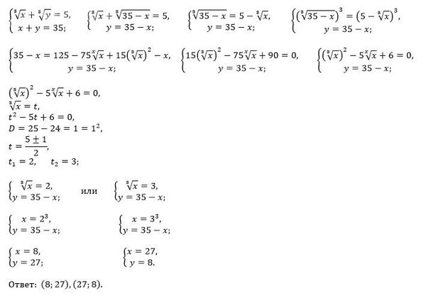
Решить систему уравнений:
{ ∛x+∛y = 5
{ x+y = 35
математика 10-11 класс
221
Решение
5f3eaa23faf909182968dde0
27.12.2022 11:03:02
★
Написать комментарий
Меню
Решим всё
Найти задачу
Категории
Статьи
Тесты
Архив задач
Присоединяйся в ВК