Задать свой вопрос
*более 50 000 пользователей получили ответ на «Решим всё»
Задача 67954
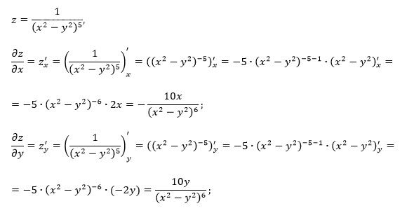
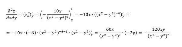
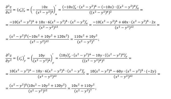
Дана функция z=f(x y)...
Условие
63a8545246ce692afe75a7c4
26.12.2022 22:14:11
Дана функция z=f(x y)
математика ВУЗ
199
Решение
5f3eaa23faf909182968dde0
26.12.2022 22:26:40
★
Написать комментарий
Меню
Решим всё
Найти задачу
Категории
Статьи
Тесты
Архив задач
Присоединяйся в ВК