Задать свой вопрос   *более 50 000 пользователей получили ответ на «Решим всё»

Задача 67917 Даны точки A1(1 3 0): A2(0 1 –2), A3(0 2...

Условие

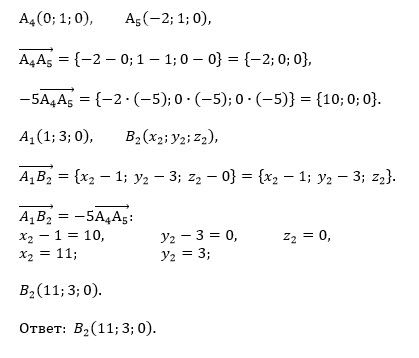
Даны точки A1(1 3 0): A2(0 1 –2), A3(0 2 –3), A4(0 1 0),A5(–2 1 0) Найти точку B2,такую чтобы A1;B2 =-5A4;A5 (Вопрос 5)

математика колледж 204

Решение

Написать комментарий

Меню

Присоединяйся в ВК