Задать свой вопрос
*более 50 000 пользователей получили ответ на «Решим всё»
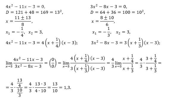
Задача 67910
Вычислить предел, через квадратное...
Условие
636fe00ec74ebf2c96290034
25.12.2022 14:43:04
Вычислить предел, через квадратное уравнение
105
Решение
5f3eaa23faf909182968dde0
25.12.2022 18:07:11
★
Написать комментарий
Меню
Решим всё
Найти задачу
Категории
Статьи
Тесты
Архив задач
Присоединяйся в ВК