Задать свой вопрос
*более 50 000 пользователей получили ответ на «Решим всё»
Задача 67876
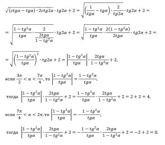
Спростіть вираз ...
Условие
63a199af8597ce7578776f97
23.12.2022 19:59:50
Спростіть вираз
математика 10-11 класс
181
Решение
5f3eaa23faf909182968dde0
24.12.2022 17:46:45
★
Написать комментарий
Меню
Решим всё
Найти задачу
Категории
Статьи
Тесты
Архив задач
Присоединяйся в ВК