Задать свой вопрос
*более 50 000 пользователей получили ответ на «Решим всё»
Задача 67845
Всем привет! Нужно решить два примера по...
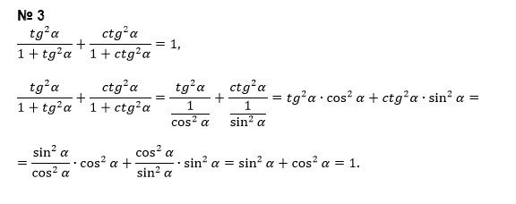
Условие
63a52ceac569977eae5d5a63
23.12.2022 08:40:20
Всем привет! Нужно решить два примера по математике.
математика
240
Решение
5f3eaa23faf909182968dde0
23.12.2022 09:07:11
★
Написать комментарий
Меню
Решим всё
Найти задачу
Категории
Статьи
Тесты
Архив задач
Присоединяйся в ВК