Задать свой вопрос
*более 50 000 пользователей получили ответ на «Решим всё»
Задача 67805
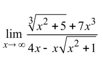
Вычислить пределы...
Условие
63a43391e457342886919bb2
22.12.2022 13:42:46
Вычислить пределы
нет в списке ВУЗ
100
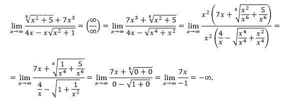
Решение
5f3eaa23faf909182968dde0
22.12.2022 14:06:42
★
Написать комментарий
Меню
Решим всё
Найти задачу
Категории
Статьи
Тесты
Архив задач
Присоединяйся в ВК