Задать свой вопрос   *более 50 000 пользователей получили ответ на «Решим всё»

Задача 67702 Розв‘ижать e AL — — — — 85 — O SR B o0 "...

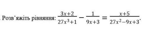
Условие

Розв‘ижать e AL — — — — 85 — O SR B o0 " ORES 27RP-9#43!

113

Решение

27x^3+1=(3x)^3+1=(3x+1)*((3x)^2-3x+1)


[m]\frac{3x+2}{(3x+1)(9x^2-3x+1)}-\frac{1}{3(3x+1)}-\frac{x+5}{3(9x^2-3x+1)}=0[/m]


[m]\frac{3(3x+2)-(9x^2-3x+1)-(3x+1)(x+5)}{3(3x+1)(9x^2-3x+1)}=0[/m]


[m]\frac{9x+6-9x^2+3x-1-(3x^2+x+15x+5)}{3(3x+1)(9x^2-3x+1)}=0[/m]


[m]\frac{9x+6-9x^2+3x-1-3x^2-x-15x-5}{3(3x+1)(9x^2-3x+1)}=0[/m]


[m]\frac{-12x^2-4x}{3(3x+1)(9x^2-3x+1)}=0[/m]


[m]\frac{-4x(3x+1)}{3(3x+1)(9x^2-3x+1)}=0[/m]

3x+1 ≠ 0

[m]\frac{-4x}{3(9x^2-3x+1)}=0[/m]

[b]x=0[/b]- единственный корень уравнения



Написать комментарий

Меню

Присоединяйся в ВК