
[m]\lim \limits_{x \to 0} \frac{sin(7x)}{sin(13x)} = \lim \limits_{x \to 0} (\frac{sin(7x)}{7x} \cdot \frac{13x}{sin(13x)} \cdot \frac{7x}{13x}) = 1 \cdot 1 \cdot \frac{7}{13} = \frac{7}{13}[/m]
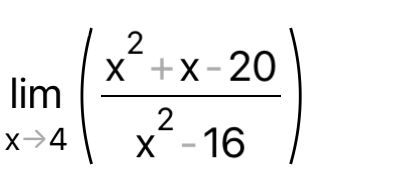
2) Здесь нужно разложить на множители числитель и знаменатель:
[m]\lim \limits_{x \to 4} \frac{x^2+x-20}{x^2-16} = \lim \limits_{x \to 4} \frac{(x+5)(x-4)}{(x+4)(x-4)} = \lim \limits_{x \to 4} \frac{x+5}{x+4} = \frac{4+5}{4+4} = \frac{9}{8}[/m]