Задать свой вопрос
*более 50 000 пользователей получили ответ на «Решим всё»
Задача 67452
Подалуйста быстрей...
Условие
6391e5bc34501359d8760548
08.12.2022 16:26:40
Подалуйста быстрей
112
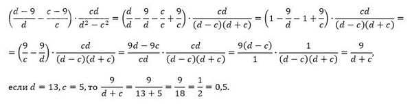
Решение
5f3eaa23faf909182968dde0
08.12.2022 16:41:14
★
Написать комментарий
Меню
Решим всё
Найти задачу
Категории
Статьи
Тесты
Архив задач
Присоединяйся в ВК