Задать свой вопрос   *более 50 000 пользователей получили ответ на «Решим всё»

Задача 67282 [b]Составить каноническое уравнение...

Условие

[b]Составить каноническое уравнение гиперболы, имеющей общие фокальные хорды с данным эллипсом.[/b]

373

Решение

Каноническое уравнение эллипса:
(x^2/a^2)+(y^2/b^2)=1

a^2=b^2+c^2 ⇒ c^2=a^2-b^2
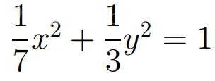
Данное уравнение можно записать в таком же виде:

(x^2/7)+(y^2/3)=1


a^2=7 ⇒ a=sqrt(7)
b^2=3 ⇒ b=sqrt(3)

c^2=a^2-b^2=7-3=4

c=2

F_(1)(-2;0); F_(2)(2;0) - фокусы эллипса.

Точки P и Т лежат на прямой, проходящей через фокус F_(1(-2;0)
Значит абсцисса этих точек х=-2

Найдем ординаты точек P и Т

подставим x=-2 в уравнение
(x^2/7)+(y^2/3)=1

y^2=3*(1-(4/7)

y^2=9/7

y= ± 3/sqrt(7)

Фокальная хорда РТ=(3/sqrt(7))-(-3/sqrt(7))=6/sqrt(7)



Каноническое уравнение гиперболы:
(x^2/a^2)-(y^2/b^2)=1

с^2=a^2+b^2

a и b неизвестны, а
c=2 как и у эллипса

F_(1)(-2;0); F_(2)(2;0) - фокусы гиперболы

Найдем ординаты.

подставим x=-2 в уравнение

(x^2/a^2)-(y^2/b^2)=1

(y^2/b^2)=(4/a^2)-1

Ординаты такие же

b^2((4/a^2)-1)=3*(1-(4/7)
и
a^2+b^2=2^2 ⇒ b^2=4-a^2 и подставляем в первое


a^2=3*(3/7) ⇒

a^2=9/7

b^2=4-(9/7)=19/7



x^2/(9/7)-(y^2/19/7))=1 - уравнение искомой гиперболы

Написать комментарий

Меню

Присоединяйся в ВК