Задать свой вопрос
*более 50 000 пользователей получили ответ на «Решим всё»
Задача 67252
решите систему показательных...
Условие
638793a5df6bc330a657275f
30.11.2022 20:36:04
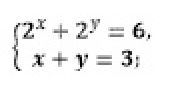
решите систему показательных уравнений:
2^x+2^y = 6
x+y= 3
математика 10-11 класс
556
Решение
6383295f3abb33063bcbd354
30.11.2022 21:49:58
★
Ответ:
(1;2), (2;1)
Написать комментарий
Меню
Решим всё
Найти задачу
Категории
Статьи
Тесты
Архив задач
Присоединяйся в ВК