Задать свой вопрос
*более 50 000 пользователей получили ответ на «Решим всё»
Задача 67250
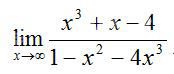
Вычислите предел функции...
Условие
637cc7131b1bf76cc2591ba7
30.11.2022 17:59:55
Вычислите предел функции
математика ВУЗ
222
Решение
6383295f3abb33063bcbd354
30.11.2022 18:30:06
★
Ответ:
-0,25
Написать комментарий
Меню
Решим всё
Найти задачу
Категории
Статьи
Тесты
Архив задач
Присоединяйся в ВК