Задать свой вопрос
*более 50 000 пользователей получили ответ на «Решим всё»
Задача 67212
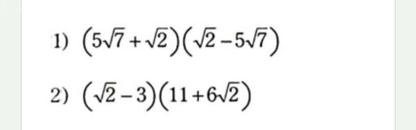
Упростить выражение ...
Условие
6245cc109047d823797edd39
28.11.2022 18:57:53
Упростить выражение
математика 8-9 класс
224
Решение
6383295f3abb33063bcbd354
28.11.2022 19:28:46
★
Написать комментарий
Меню
Решим всё
Найти задачу
Категории
Статьи
Тесты
Архив задач
Присоединяйся в ВК