Задать свой вопрос
*более 50 000 пользователей получили ответ на «Решим всё»
Задача 67147
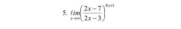
Решить неопределенность ...
Условие
637cdb0504ff381bf0bedd34
25.11.2022 15:57:57
Решить неопределенность
138
Решение
5f3eaa23faf909182968dde0
25.11.2022 16:46:06
★
Написать комментарий
Меню
Решим всё
Найти задачу
Категории
Статьи
Тесты
Архив задач
Присоединяйся в ВК