
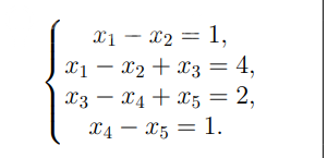
{ x1 - x2 + x3 = 4
{ x3 - x4 + x5 = 2
{ x4 - x5 = 1
Запишем каждое уравнение со всеми неизвестными:
{ x1 - x2 + 0x3 + 0x4 + 0x5 = 1
{ x1 - x2 + x3 + 0x4 + 0x5 = 4
{ 0x1 + 0x2 + x3 - x4 + x5 = 2
{ 0x1 + 0x2 + 0x3 + x4 - x5 = 1
Умножаем 1 уравнение на - 1 и складывает со 2 уравнением:
{ x1 - x2 + 0x3 + 0x4 + 0x5 = 1
{ 0x1 + 0x2 + x3 + 0x4 + 0x5 = 3
{ 0x1 + 0x2 + x3 - x4 + x5 = 2
{ 0x1 + 0x2 + 0x3 + x4 - x5 = 1
Отсюда из 2 уравнения: x3 = 3
Подставив его в 3 уравнение, получим:
3 - x4 + x5 = 1
x4 - x5 = 3 - 1 = 2
Это повтор 4 уравнения.
Значит, у нас 2 свободных переменных, например, x2 и x5, и 2 зависимых:
x1 = x2 + 1
x4 = x5 + 1
Ответ: x2 ∈ R, x5 ∈ R, x3 = 3, x1 = x2 + 1, x4 = x5 + 1