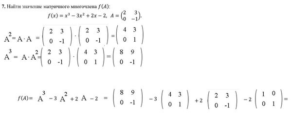
Вариант — 2 -2 4 0 1. Дана матрица А =( 1 3 —5 ). Чему равен элемент матрицы аз2? 2 6 -1 _(1-350 Z.Onpenenmepamepmarpuum,«i—(2 47 _3). 3. Выберите треугольную матрицу из числа предложенных: 11 1 11 1 a)(fl 1 1); в)(о 1 о); 00 1 010 111 101 6) (о 1 0); (o 1 0) 111 101 10 4. 3amummre Matpuny AT, ecmi matpmma A = | 2 3 ). -1 4 5. Выберите вектор — строку из числа предложенных матриц: 0y, 8 (0 1) VG : 9 (1 o); n (1) @ _ (2 5\ p_(0 -6 6. Найдите разность матриц ЗА — 2В, если А = (_1 4).в = (2 710). 7. Найти значение матричного многочлена /`(А): =х3 — 3х? _ =(2 3 Г) = х — 3х? + 2х — 2, А_(О _1). 8. Найдите произведение матриц А - B, если: /3 1 -2 _ 1 -1). а) A’(—l 0 1)‘37(4 3)' 0 2 -2 1 -1 0 6) A=(4 0 0 ], В= { 2 1 1) 6 -2 2 -1 0 -2

математика колледж
1146