Задать свой вопрос   *более 50 000 пользователей получили ответ на «Решим всё»

Задача 66912 ...

Условие

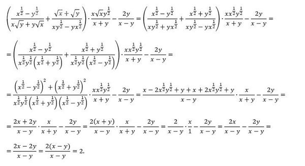
Упростите вырaжение ([m]\frac{x^½-y^½}{x*sqrt(y)+y*sqrt(x)}[/m]+[m]\frac{sqrt(x)+sqrt(y)}{xy^½-yx^½}[/m])*[m]\frac{x*sqrt(x)y^½}{x+y}[/m]-[m]\frac{2y}{x-y}[/m].

математика колледж 252

Решение

Написать комментарий

Меню

Присоединяйся в ВК