Задать свой вопрос   *более 50 000 пользователей получили ответ на «Решим всё»

Задача 66516 [b]Найти все значения корня из...

Условие

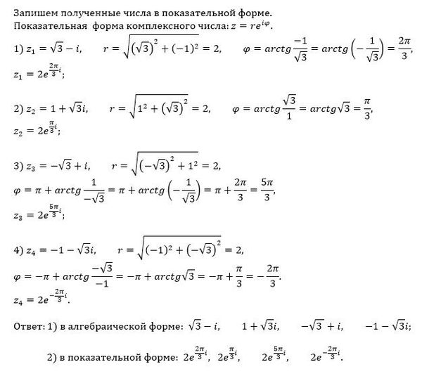
[b]Найти все значения корня из комплексного числа. Записать ответ в алгебраической и показательной форме:
[/b]

математика 218

Решение

Написать комментарий

Меню

Присоединяйся в ВК