Задать свой вопрос
*более 50 000 пользователей получили ответ на «Решим всё»
Задача 66399
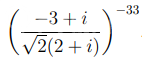
[b]Вычислить значение выражения [/b] ...
Условие
63530e9a3d18a046676783ee
22.10.2022 14:54:14
[b]Вычислить значение выражения
[/b]
математика ВУЗ
237
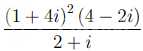
Решение
5f3eaa23faf909182968dde0
22.10.2022 18:14:45
★
Написать комментарий
Меню
Решим всё
Найти задачу
Категории
Статьи
Тесты
Архив задач
Присоединяйся в ВК