Задать свой вопрос   *более 50 000 пользователей получили ответ на «Решим всё»

Задача 66307 Дан параллелограмм ABCD найти вершину D...

Условие

Дан параллелограмм ABCD найти вершину D и острый угол А(2;-3;4)В(6;-4;-5) С(-3;4;2)

математика ВУЗ 658

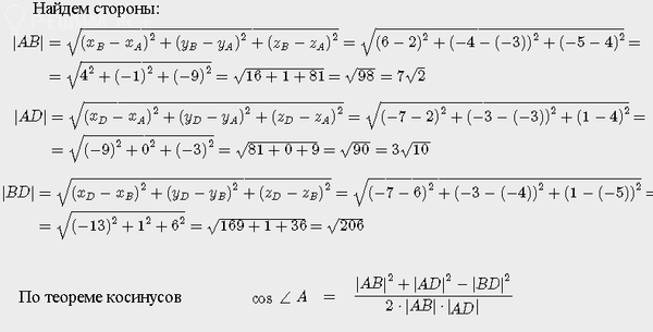
Решение

Диагонали параллелограмма в точке пересечения О делятся пополам

O - середина АС

Тогда координаты точки О:

О((2+(-3))/2;(–3+4)/2;(4+2)/2)=(-0,5;0,5;3)

Обозначим координаты точки D:

D(x_(D); y_(D); z_(D))

O - середина BD

Тогда координаты точки О:

O((6+x_(D))/2; (-4+y_(D))/2;(-5+z_(D))/2)


Приравниваем координаты точки О найденные в первом случае и здесь

(-0,5;0,5;3)=((6+x_(D))/2; (-4+y_(D))/2;(-5+z_(D))/2)

Равенство покоординатное, т.е

-0,5=(6+x_(D))/2 ⇒ х_(D)=-7

0,5=(-4+y_(D))/2 ⇒ y_(D)=-3

3=(-5+z_(D))/2) ⇒ z_(D)=1

Написать комментарий

Меню

Присоединяйся в ВК