Задать свой вопрос
*более 50 000 пользователей получили ответ на «Решим всё»
Задача 66256
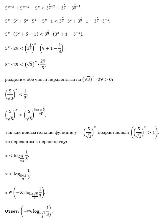
Решить показательное неравенство. Ответ...
Условие
633b0d116393245c3ac411de
17.10.2022 07:12:15
Решить показательное неравенство. Ответ должен получится с логарифмами (дробью)
математика 10-11 класс
182
Решение
5f3eaa23faf909182968dde0
17.10.2022 08:37:47
★
Написать комментарий
Меню
Решим всё
Найти задачу
Категории
Статьи
Тесты
Архив задач
Присоединяйся в ВК