Задать свой вопрос   *более 50 000 пользователей получили ответ на «Решим всё»

Задача 66204 ...

Условие

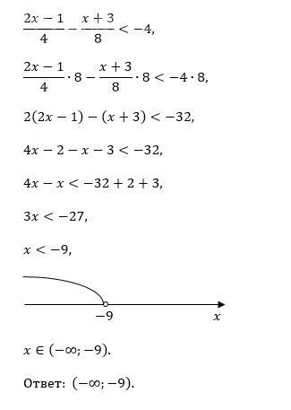
решите неравенство: (2х-1)/4 -(х+3)/8 ∠ -4 необходимо на числовой прямой обозначить множество решений и записать его в виде числового промежутка.

математика 8-9 класс 1248

Решение

Написать комментарий

Меню

Присоединяйся в ВК