Задать свой вопрос   *более 50 000 пользователей получили ответ на «Решим всё»

Задача 65955 ...

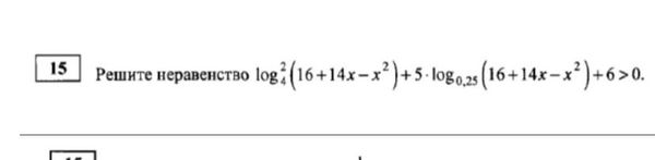
Условие

Решите неравенство log^2₄(16+14x-x²)² + 5·log₀,₂₅(16+14x-x²) + 6 > 0.

математика 10-11 класс 1308

Решение

[m]log_{0,25}(16+14x-x^2)=log_{4^{-1}}(16+14x-x^2)=-log_{4}(16+14x-x^2)[/m]

Замена переменной:

[m]log_{4}(16+14x-x^2)=t[/m]


[m]t^2-5t+6 >0[/m] ⇔ [m]t <2[/m] или [m]t>3[/m]

Обратный переход от переменной t к переменной x:

[m]log_{4}(16+14x-x^2) <2[/m] или [m]log_{4}(16+14x-x^2)>3[/m] ⇒

[m]0 < 16+14x-x^2 <4^2[/m] или [m]16+14x-x^2>4^3[/m] ⇒

[m]\left\{\begin {matrix}16+14x-x^2>0\\14x-x^2 <0\end {matrix}\right.[/m] или [m]x^2-14x+48 <0[/m]

Написать комментарий

Меню

Присоединяйся в ВК